| Revision History | |||
|
Type |
Effective Date |
Circular |
Notes |
|
Original |
04/01/2016 |
North Carolina Basic Manual for Workers Compensation and Employer Liability - Digital Edition |
|
Refer to Rule 3-A-3
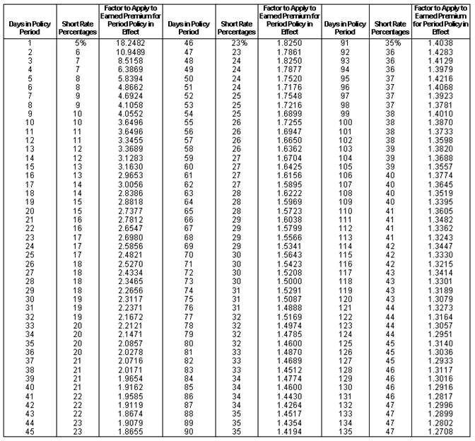
SHORT RATE CANCELLATION TABLE FOR A TERM OF ONE YEAR

SHORT RATE CANCELLATION TABLE

SHORT RATE CANCELLATION TABLE (CONT’D)

SHORT RATE CANCELLATION TABLE (CONT’D)

PRO RATA CANCELLATION TABLE

PRO RATA CANCELLATION TABLE (CONT’D)

CANCELLATION EXAMPLES
The following examples have been created and apply to the Cancellation tables outlined in Rule 3-A-3.
Sample Policy Information
- Policy Effective Date: 1/1/X4
- Policy Expiration Date: 1/1/X5 (365 day term)
- Policy Cancellation Date: 7/5/X4 (in effect 185 days)
- Actual Payroll: $300,000 (reflecting 1/1/X4 to 7/5/X4)
- Manual Rate: $2
- Minimum Premium: $1,250
- Experience Modification: 0.95
- Expense Constant: $250
- Terrorism Charge of .01
- Catastrophe (other than Certified Acts of terrorism) charge of .01
Pro Rata Cancellation Example
- Pro Rata number of days ratio = 0.507
1. Payroll extended for full policy term = $55,500*365/185 = $109,500
2. Full policy term premium before experience rating = $109,500 / 100 x $2 = $2,190
3. Full policy term Modified Premium = $2,190*.95 = $2,081
4. Pro-Rata modified premium = $2,081 * 0.507 = $1,055
5. Pro-Rata portion of expense constant = 0.507 * $250 = $127
6. Terrorism = ($55,500/100 * .01) = $6
7. Catastrophe= ($55,500/100 * .01) = $6
8. Total Pro Rata Premium for cancelled policy = ($1,055 + $127 + $6 + $6) = $1,194
Short Rate percentage cancellation example
- Short Rate percentage for 185 days = 61%
1. Payroll extended for full policy term = $55,500*365/185 = $109,500
2. Full policy term premium before experience rating = $109,500 / 100 x $2 = $2,190
3. For a 365 day policy, extended # of days = # of days policy in effect = 185
4. Short rate premium = $2,190 * .61 = $1,336
5. Short rate modified premium = $1,336 * 0.95 = $1,269
6. Less premium discount (first $5,000 @ 0%) = $0
7. Short rate portion of expense constant = $250 * .61 = $153
8. Terrorism = ($55,500/100 * .01) = $6
9. Catastrophe= ($55,500/100 * .01) = $6
10. Total premium for cancelled policy = $1,269 + $153 + $6 + $6 = $1,434
Short Rate factor cancellation example
- Short Rate Factor for 185 days = 1.2035
1. Actual premium = $55,500/100 * $2 = $1,110
2. Short rate charge = $1,110 * .2035 = 226
3. Short rate manual premium = $1,110 + $226 = $1,336
4. Short rate modified premium = $1,336 * .95 = $1,269
5. Less premium discount (first $5,000 @ 0%) = $0
6. Short rate portion of expense constant = pro rata portion of expense constant + short rate factor applied to pro rata portion of expense constant = ($250 / 365 x 185) + [($250 / 365 x 185)x.2036] = $153
7. Terrorism = ($55,500/100 * .01) = $6
8. Catastrophe= ($55,500/100 * .01) = $6
9. Total premium for cancelled policy = $1,269 + $153 + $6 + $6 = $1,434
© North Carolina Rate Bureau. Contains the copyrighted material of the National Council on Compensation Insurance, Inc. ("NCCI") © 1986 - NCCI. All rights reserved. Used with permission.